KUNCI JAWABAN Matematika Kelas 9 SMP UTS Semester 2 Tahun 2021, Ulangan Tengah Semester Genap
Berikut pembahasan soal dan jawaban Latihan UTS dan PTS untuk siswa kelas 9 SMP/ MTS Pelajaran Matematika
Penulis: Dhita Mutiasari | Editor: Dhita Mutiasari
TRIBUNPONTIANAK.CO.ID - Yuk simak kunci jawaban pelajaran Matematika Kelas 9 SMP/ MTS Semester 2 (Genap) tahun 2021.
Soal dan jawaban untuk latihan menghadapi Ulangan Tengah Semester (UTS) atau Penilaian Tengah Semester (PTS)
Kunci jawaban yang dibahas juga dapat digunakan sebagai referensi bahan belajar bagi siswa dan guru dan orang tua dalam membimbing anak-anak peserta didik.
Berikut pembahasan soal dan jawaban Latihan UTS dan PTS untuk siswa kelas 9 SMP/ MTS Pelajaran Matematika dilansir dari bospedia.com:
Baca juga: SOAL UTS / PTS Bahasa Indonesia Kelas 9 SMP / MTS Semester 2 Kurikulum 2013 dan Kunci Jawaban
Baca juga: SOAL UTS Bahasa Inggris Kelas 9 SMP / MTS Semester 2 Kurikulum 2013 dan Kunci Jawaban Pilihan Ganda
SOAL DAN JAWABAN MATEMATIKA KELAS 9 SMP SEMESTER 2
*SOAL PILIHAN GANDA
A. Berilah tanda silang (x) didepan huruf a,b, c, atau d didepan jawaban yang benar !
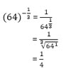
1. Hasil dari (64)-1/3 adalah....
a. 1/8
b. 1/4
c. 8
d. 4
2. Bentuk sederhana dari √300 adalah....
a. 10√3
b. 20√3
c. 30√3
d. 40√3
3. 2-2 + 3-3 + 1-4 = ....
a. 1 6/54
b. 1 6/108
c. 1 31/54
d. 1 31/108
4. Hasil dari (1/3)3 x 243 ∶ 1/92 =....
a. 36
b. 35
c. 34
d. 33
5. Hasil dari (9x-2 y3 z-4 )2 adalah....
Baca juga: KUNCI JAWABAN Soal Latihan Penilaian Akhir Semester PAS / UAS Pelajaran IPA SMP Kelas 9 Semester 1
Baca juga: Kunci Jawaban Soal Latihan Ulangan UAS / PAS PKN Kelas 9 SMP / MTS Semester Ganjil Tahun 2020
6. Nilai dari (√32)1/5 adalah....
a. 5
b. 4
c. 3
d. 2
7. Susunan bilangan ∛125, 5√243, ∜16 dari kecil ke besar adalah....
a. ∛125, 5√243, ∜16
b. ∛125, ∜16, 5√243
c. ∜16, 5√243, ∛125
d. ∜16, ∛125, 5√243
8. Bentuk baku dari 23.080.000 adalah....
a. 2,308 x 108
b. 2,308 x 107
c. 2,38 x 108
d. 2,38 x 107
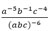
9. Bentuk sederhana dari
adalah....
a.. ab2c5
b. a2b5c2
c. ab5c2
d. a2b2c5
10. Hasil dari √175+4√7-√63 adalah....
a. 6√7
b. 5√7
c. 4√7
d. 3√7
11. Bentuk sederhana dari
adalah....
a. 1/3√3 + 2/3√6
b. 1/3√1 + 2/3√3
c. 1/3 √6 + 2/3√3
d. 1/3√3 + 2/3√1
12. Jika 39-3x = 27, maka nilai x yang memenuhi adalah....
a. 2
b. 3
c. 4
d. 5
13. Jika 3-x+2 = 1/81, maka nilai x yang memenuhi adalah....
a. -2
b. -6
c. 2
d. 6
14. Diketahui a =2√3+ √5 dan b =3√5- √3. Nilai ab= ....
a. 5√15+9
b. 5√15+21
c. 5√15-9
d. 5√15-21
15. Bentuk sederhana
adalah....
a. 1/3 (√6+√15)
b. 1/3 (√6-√15)
c. -1/3 (√6+√15)
d. -1/3 (√6-√15)
Baca juga: CONTOH SOAL PAS Kelas 9 Semester 1 Bahasa Indonesia Lengkap Kunci Jawaban UAS SMP / MTS 2020
Baca juga: KUNCI Jawaban Latihan Soal UAS / PAS Bahasa Inggris Kelas 9 SMP Semester Ganjil 2020
16. Diketahui p x (3√2-√6) = 12. Nilai p yang memenuhi adalah....
a. 3√6+√2
b. 3√6-√2
c. 3√2+√6
d. 3√2-√6
17. Tentukan luas sebuah persegi jika diketahui panjang sisinya (3√6-2) cm.
a. 58 + 12√6
b. 58 - 12√6
c. 58 + 6√6
d. 58 - 12√6
18. Sebuah belah ketupat memiliki panjang diagonal (3√5)cm dan(2√5)cm. Luas belah ketupat tersebut adalah....
a. 12 cm2
b. 13 cm2
c. 14 cm2
d. 15 cm2
19. Panjang rusuk suatu kubus (3+4√2) cm, volume kubus tersebut adalah....cm3.
a. 315 + 236√2
b. 236 + 315√2
c. 315 - 236√2
d. 236 - 315√2
20.
Contoh Soal Pangkat dan Akar Kelas 9 SMP Gambar Sisi Miring
Panjang AC adalah...
a. 3-√2
b. 3+√2
c. 15-6√2
d. 15+6√2
>>>>KUNCI JAWABAN DAN PEMBAHASAN
1.
Jawaban : b
2.






